Nga Beadin Syla
Rreth pesë vite i janë dashur Ministrisë së Infrastrukturës për të përfunduar ndërtimin e një muri mbrojtës në rrugën Hani i Elezit – Gorancë, vetëm pak metra larg kufirit me Maqedoninë e Veriut. Kjo rrugë, e cila prej vitesh ka paraqitur rrezik rrëshqitjeje, është shembur disa herë duke rrezikuar banorët dhe sidomos nxënësit që e shfrytëzojnë për të shkuar në shkollë, shkruan Kujdestari.info
Por, dokumentacioni që posedon Kujdestari.info tregon një histori skandaloze të keqmenaxhimit, punimeve jashtë standardeve dhe pagesave për punë të kryera vetëm në letër.
Kontrata dhe firmëtarët
Më 20 nëntor 2019, Ministria e Infrastrukturës lidhi kontratën me kompanitë “Via Shpk” dhe “Eurokos Holding Shpk”, në vlerë prej 1,514,625.65 euro. Afati i punimeve ishte 140 ditë pune. Në emër të autoritetit kontraktues kontratën e nënshkroi ish-ministri Pal Lekaj, ish-zyrtari kryesor administrativ Betim Reqica dhe ish-shefja e prokurimit Valmira Bllaca. Ndërsa në anën tjetër, për kompaninë, nënshkroi drejtori i “Via Shpk”, Driton Shamolli.
Menaxher i projektit nga Ministria ishte caktuar Lahudin Myrtaj.

Pavarësisht këtyre emrave dhe përgjegjësive të qarta, projekti u zvarrit për vite të tëra, ndërsa banorët protestonin për mungesë veprimi. Veç se, tash projektit është thënë se është finalizuar.
Raporti i Ministrisë që u injorua
Në gusht të vitit 2022, një komision i brendshëm i Ministrisë së Infrastrukturës – i përbërë nga Hysen Merovci, Ardian Begaj dhe Zekrie Osmani-Hadri – vizitoi vendin e punimeve dhe përpiloi një raport prej 11 faqesh. Raporti, i dërguar te ish-ministri Liburn Aliu, zv/ministri Hysen Durmishi, ish-sekretari Servet Spahiu dhe autoritete të tjera, përmban gjetje alarmante.

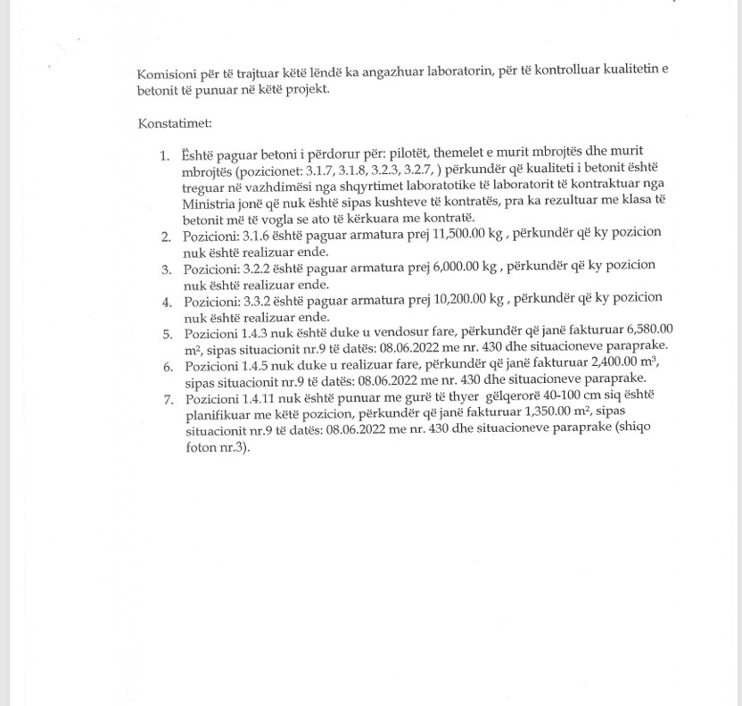
Konstatimet kryesore:
- Është paguar beton për themelet, pilotët dhe murin mbrojtës, por cilësia e betonit ka dalë më e dobët se standardet e kontraktuara, sipas laboratorit të Ministrisë.
- Janë paguar 11,500 kg, 6,000 kg dhe 10,200 kg armaturë, në pozicione të ndryshme, të cilat nuk janë realizuar fare.
- Janë faturuar 6,580 m² punime që nuk janë vendosur; 2,400 m³ punime që nuk janë realizuar; dhe 1,350 m² gurë të thyer që nuk janë përdorur, megjithëse figurojnë të paguar.
Pra, miliona euro janë derdhur për punë të cilat sipas raportit nuk ekzistojnë në terren dhe ato të realizuarat, ishin jashtë standardëve.
Raport 1, Raport 2, Raport 3, Raport 4, Raport 5, Raport 6, Raport 7, Raport 8, Raport 9

Marrë parasysh gjetjet, komisioni i kishte rekomanduar ministrisë që të rrënohej i gjithë muri.
Rekomandimet:
Komisioni i Ministrisë rekomandonte masa drastike:
- Rrënimin e plotë të murit mbrojtës dhe ribërjen nga e para, bashkë me themelet dhe pilotët, sipas standardeve.
- Kryerjen e punimeve të parapara në kontratë pa asnjë devijim.
- Vendosjen e drenazhimit dhe gjeotekstilit, pa të cilat muri rrezikon të shembet përsëri.
- Heqjen e materialeve të gabuara dhe zëvendësimin me ato që parashihte projekti.
- Paralajmërimin se projekti në gjendjen aktuale nuk garanton siguri, dhe se rrëshqitjet mund të përsëriten shumë shpejt.

Kujdetari.info ka mësuar se punëkryesi nuk e kishte shembur asnjë tullë. Ministria, ndërkohë, në vend se të detyronte kompaninë të zbatonte raportin e vet, tentoi të bëjë vetëm një riprojketim, pa i zhbërë punët e dobëta që ishin kryer deri në atë fazë.
Në vitin 2023, banorët e Gllobocicës dhe Gorancës protestuan disa herë, duke denoncuar se rruga vazhdonte të shembej dhe se fëmijët rrezikoheshin çdo ditë.
Kryetari i Komunës së Hanit të Elezit, Mehmet Ballazhi, në një bisedë për Kujdestari.info, tha se rruga është tërësisht nën përgjegjësinë e Ministrisë së Infrastrukturës, duke nënvizuar se komuna nuk ka pasur kompetencë në këtë proces.
“Rruga është në përgjegjësi të Ministrisë. Ata e kanë menaxhuar procesin dhe e kanë tenderuar. Ne kemi pasur takime dhe kemi shkëmbyer dhjetëra email me ministrinë, por nuk është se na kanë thënë shumë. Ne vetëm kemi përcjellë shqetësimet e banorëve dhe tonat, se pse rruga nuk po kryhej. Me sa di do të perëndojë në tersi në tetor”, deklaroi Ballazhi për Kujdestari.info.
Kujdestari.com ka dërguar pyetje zyrtare te Ministria e Infrastrukturës:
- A janë përfunduar të gjitha punimet dhe pse janë zvarritur për pesë vite një projekt që duhej të zgjaste vetëm 140 ditë?
- A është përfilluar raporti i vitit 2022, i cili kërkonte shembjen e murit?
- A janë bërë pagesa për punë të parealizuara dhe nëse po, sa është shuma totale?
- A është bërë pranimi teknik i punimeve dhe kush janë zyrtarët që e kanë firmosur?
Ministria nuk ka dhënë asnjë përgjigje.

Po ashtu, nuk është përgjigjur as kompania “Via Shpk”, e cila ka përfituar nga kontrata miliona euro nga ministria.

Historia e murit mbrojtës në Han të Elezit është një shembull klasik i abuzimit me kontratat publike, punimeve jashtë standardeve dhe heshtjes institucionale. /Kujdestari.info/
Më poshtë mund të shihni raportin e plotë dhe disa foto të cilat Kujdetsari.info i ka realizuar para pak ditëve.











FOTO te realizuara në gusht 2025:


